
Deluxe Swiss Army Camera
While it is true that there will never be the perfect camera because to achieve certain things you have to compromise in other areas, the Sony BURANO camera does a very admirable job of being quite good at a lot of things with minimal compromises.
Size and Weight
The BURANO is pretty compact and light for a full cinema camera. Weighing in at just over half the weight of the VENICE 2 and only a pound heavier than the FX9, the BURANO is suitable for mobile shooting, whether shouldered, hand held, or mounted on a gimbal
Scan Mode Versatility
The massive resolution of the sensor (42 effective megapixels) makes the Sony BURANO a very versatile camera for a lot of different situations.

The full frame goodness is ideal for those times when you just have to have the most detail, sharpness, and shallow depth of field, and with so many fantastic lenses to choose from in almost any mount (thanks to the E-mount on BURANO) you will be spoiled for choice.
Sometimes however you might need a bit more reach with a lens than you can get from full frame, or you want to use any of the many lenses on the market that don’t cover full frame, like the Fujinon 19-90, or vintage cinema lenses. With BURANO you can shoot in Super35 mode and still record in 6k, and you can even shoot 4k in Super35 crop, which is roughly the size of a Micro 4/3 sensor. This opens up a lot of lensing choices and usage options while maintaining sharpness and recording quality.
Return of the Speed Booster
With all the possible scan modes and high resolution sensor there are some intriguing possibilities to bring speed boosting lens adapters back into play. With a speed booster you could use a full frame lens, set the camera to Super35 mode, record 6k resolution with a full frame field of view and depth of field, AND an extra stop of exposure.
Or you could shoot 4k in Super35 Crop mode at 120fps and give yourself an extra stop of exposure with any lens, including many Super35 lenses like the Sigma 18-35mm f/1.8 zooms, which after speed boosting become the equivalent of 14-24mm f/1.4 zoom.
There are quite a few speed boosting adapters available for a variety of mounts. Canon EF-mount to E-mount are by far the most common, but you can easily get Nikon F-mount, Canon FD-mount, and even PL-mount speed boosting adapters. There are also speed booster lens adapters for medium format lenses which would let you use the full frame sensor to achieve a medium format look.
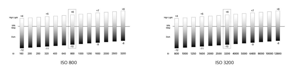
Dual Native ISO

Sticking with the sensor for a bit longer, the BURANO offers a true Dual Base ISO. Unlike the FX3, FX6 and other similar cameras which use additional processing to offer a high sensitivity mode, BURANO’s sensor is constructed in a way that offers 2 ISO values that are truly base in that there is no extra processing or gain being used at those two values. You can read more about how this works here. This is a great feature for managing lower light scenarios.
Recording Options
In most sensor scan modes you can record the very familiar XAVC-I and XAVC-L codecs in 4k or HD. These are the same codecs that you can find in Sony’s professional cameras and the latest generation of Sony alpha cameras, and should by now be very familiar to us all.
When recording using the full frame scan there is a new h.265 XAVC-H codec for capturing 8k. There are 3 flavors of this codec in the BURANO camera. XAVC-H Intra HQ, XAVC-H Intra SQ, and XAVC-H Long. XAVC-H Intra HQ/SQ are all I, intra frame codecs with different bit rates, and XAVC-H Long is a long-GOP version for maximizing recording times.
Available in all scan modes is X-OCN LT, which is Sony’s 16-bit in camera recording option, which we will go into more detail in just a minute.
XAVC-H Support
As of this writing, only Adobe Premiere Pro supports XAVC-H Intra codecs, though I’m sure support will come quickly for Davinci Resolve and Avid editing platforms.
X-OCN LT
X-OCN stands for “extended tonal range Original Camera Negative” and is Sony’s in-camera “RAW” format. RAW is in quotes because Red (soon to be Nikon) holds a patent that restricts what types of files can be recorded in camera. X-OCN does not violate that patent and is therefore technically not truly RAW, but it behaves in a way that is indistinguishable from RAW.
What makes X-OCN unique among other “RAW” formats (Blackmagic RAW, Canon RAW Lite, N-raw, ProResRAW), and most fully RAW formats as well, is the bit depth. X-OCN is a 16-bit recording while most other formats are 12-bit and sometimes even 10-bit.
Bit depth, for those that don’t already know, refers to the number of code values possible for each of the color channels and luminance value. The more bits the more colors possible. Each bit doubles the number of values possible. X-OCN’s 16-bit recording has over 280 Trillion shades of color. That is 16 times more color detail than 12-bit recording, and a whopping 64 times more color detail than 10-bit recording.

X-OCN LT is the lightest version of X-OCN, offering modest file sizes without sacrificing visual quality. It is also why the BURANO doesn’t require the staggeringly expensive ASX cards that are used on the VENICE 2 cameras.
X-OCN LT from BURANO is currently natively supported in Adobe Premiere Pro and Davinci Resolve Studio.
Scan Modes and Recording Resolutions
| FF8K 17:9 | FF8K 16:9 | ||
| XOCN-LT | 8632×4552 | 8632×4856 | |
| XAVC-H | 8192×4320 | 7680×4320 | |
| FFc 6K 17:9 | FFc 6K 16:9 | ||
| XOCN-LT | 6052×3192 | 6052×3404 | |
| XAVC-I | 4096×2160 | 3840×2160 | 1920×1080 |
| S35 5.8K 17:9 | S35 5.8K 16:9 | ||
| XOCN-LT | 5760×3036 | 5760×3240 | |
| XAVC-I | 4096×2160 | 3840×2160 | 1920×1080 |
| S35c 4K 17:9 | |||
| XOCN-LT | 4096×2160 | ||
| XAVC-I | 4096×2160 |
Sony is officially indicating that there will be 4:3 aspect ration scan mode options added to the camera in the future via firmware upgrades, though there are no projected dates on when that will happen.
8K as a tool
Why would you want to shoot 8k when 4k delivery is still not the norm for most clients? Well, there are a number of good reasons you might want to record at 8k for initial capture.
- Archival: Recording at 8k will ensure that the footage is usable well into the future
- Reframing for 4k delivery: With an 8k image you can use the reframing technique that became popular with 4k footage and 1080 delivery.
- Reframing for 1080 delivery: 8k has 16 times the resolution of HD, so you could go even further with reframing for multiple shots from the same camera. You could go from wide, to medium, to close-up, to extreme close-up all in one clip. Or you could shoot a 4 person panel with a wide, 2-person, and individual cutaways.
In-Body Image Stabilization & Variable ND Filter
Up to the release of the Sony BURANO, you had to choose between having In-Body Image Stabilization (IBIS) or having built in ND filters. The flange distance for E-mount is very short, just 18 millimeters between the mounting surface for the lens and the sensor itself. This didn’t leave enough room for an ND filter and the space required for the sensor to be on a gimbal (how IBIS is achieved). With BURANO that is no longer the case as the camera features both, and each is worthy of its own section.
IBIS

IBIS is a feature that started in the alpha line of cameras and has slowly made its way over to the cinema side of things, starting with the FX3. What is so great about stabilization being a feature of the body instead of the lens is that you can use it with any lens, even PL mount lenses. This means that your hand held shots can be more stable without the need for extra rigging with gimbals or Steadicam systems no matter what lenses you decide to use.
It is important to know that native E-mount lenses do receive extra stabilization from the IBIS system than adapted lenses due to the extra communication between lens and body.
Variable ND Filter
Variable ND filters are not new to large sensor cameras, first being introduced with the FS5 back in 2016, but we feel it is worth a few lines to talk about. Since the ND filter in the Sony BURANO is variable between 2 and 7 stops, you can adjust your exposure using the ND filter very precisely to get the exact exposure you want without having to make changes to your aperture, shutter, or ISO/Gain settings, preserving the image characteristics exactly as you want them.
Additionally the ND filter can be set to Auto so that the camera ramps up and down the density as needed to preserve your exposure in situations where it might change while recording, such as a partly cloudy day, or transitioning from shaded to sunny areas.
One new feature of the Sony BURANO’s variable ND filter is the ability for the camera to display the ND value in standard decimal values (0.6-2.1) instead of fractions (1/4-1/128) making operating and understanding what the ND filter is doing easier.
Fast Hybrid Autofocus
Usable autofocus has been one of the biggest leaps forward, technology wise, in professional video cameras in recent years. Starting with the FX9 we have seen autofocus become a critical feature for so many shooters, allowing them to capture moments that would have been difficult or impossible with out it. It’s fast, its accurate, it tracks subjects, and it even recognizes faces and eyes. And there are a gaggle of settings to tailor its performance to fit your needs whether its lightning fast subject acquisition and tracking, or a gradual rack from one subject to another using the touch screen focusing tools.
This is not a new feature for Sony, but it is the first time we’ve seen it in a cinema camera.
Optional Accessories
The camera comes with the body, top handle, and viewfinder in the box. So what kind of accessories are available for the camera?
GPVR-100 Remote Control Grip: This is an updated and much improved grip similar to the ones that came with the FS7 and FX9 cameras. It has record start/stop, 3 assignable buttons, a zoom rocker switch, a joystick for menu navigation and has 2 points of easily adjustable articulation as well as a length adjustment. It runs $1,499.00, but for many users this is not a vital component so having it as an option is nice.
The FS7 remote grip is also compatible with the BURANO if you want a cheaper option, or if you have an FS7 sitting around.
FX9 Top Handle: For those that want to add a MI shoe to the BURANO you can use an FX9 top handle. It replaces the stock handle and interfaces with the camera through a port on the top of the BURANO. The top handle can be purchased as a replacement part from any Sony authorized repair facility or retailer but it is not available for regular retail purchase. It will set you back about $800.00
Power Distribution: When rigging up a camera for larger productions it is often key to have power distribution at the camera for accessories. Core SWX has a great system already available for BURANO offering hot swap capabilities, 2-pin Lemo connectors, P-taps, and USB-C power distribution. You can chose between V-mount and Gold mount options.
Available Now!
Sony BURANO is shipping and available for purchase now. Reach out to Z Systems to find out more!